Lagrange Interpolation Explained Simply

B.Osunstate 131 views
Lagrange Interpolation Explained Simply

Lagrange Interpolation Explained Simply

Hey everyone! Today, we’re diving deep into a super cool mathematical concept called Lagrange interpolation . If you’ve ever dealt with data points and needed to estimate values between those points, then this is your go-to technique. Think of it like connecting the dots, but in a really sophisticated mathematical way. We’re going to break down what it is, why it’s awesome, and how it works, so stick around!

What Exactly is Lagrange Interpolation?

Alright guys, let’s get down to business. Lagrange interpolation is a method used in numerical analysis to find a polynomial that passes exactly through a given set of data points. Imagine you have a bunch of measurements, like the temperature at different times of the day, or the speed of a car at various moments. These are your data points. Lagrange interpolation allows us to construct a single, smooth polynomial function that hits every single one of those specific points. This is incredibly useful because, often, we don’t just care about the data we’ve measured; we’re more interested in what’s happening in between those measurements. We want to predict or estimate values where we don’t have direct data. This polynomial then acts as a continuous representation of your data, enabling you to find values at any point you desire. It’s like drawing a smooth curve that perfectly aligns with all your plotted points, and then you can pick any spot on that curve to see what the value would be. It’s a fundamental tool for understanding trends and making predictions in various fields, from engineering and physics to economics and computer graphics. The beauty of it lies in its elegance and its ability to provide a clear, continuous function from discrete data.

Why Should You Care About Lagrange Interpolation?

So, you might be thinking, “Why bother with this fancy interpolation thing?” Well, Lagrange interpolation is incredibly practical, and here’s why. Firstly, it provides a unique polynomial of the lowest possible degree that fits your data. This means you’re getting the simplest, most straightforward explanation for your data points. There’s no overcomplication; it finds the most direct path. Secondly, it’s relatively easy to understand and implement, especially when you have a small number of data points. The formula, while it might look a bit intimidating at first glance, is quite systematic. Thirdly, and perhaps most importantly, it’s a foundational concept. Understanding Lagrange interpolation opens the door to more advanced numerical methods. It’s the stepping stone to understanding other interpolation techniques, numerical differentiation, and integration. In fields like data science, engineering, and finance, you’re constantly dealing with datasets. You might need to estimate stock prices between trading days, model the trajectory of a projectile, or smooth out noisy sensor readings. Lagrange interpolation offers a robust way to achieve this. Imagine you’re designing a roller coaster track. You’d have specific points the track must pass through, and Lagrange interpolation can help define the smooth, continuous curve of the track between those points, ensuring a safe and thrilling ride! It’s all about making sense of scattered information and turning it into something predictable and usable. The ability to create a smooth curve from discrete points is a powerful tool for visualization, analysis, and prediction, making it indispensable in many scientific and technical disciplines.

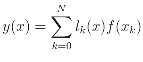
How Does Lagrange Interpolation Work? The Magic Formula

Now for the nitty-gritty – how does Lagrange interpolation actually work? The core idea is to construct a polynomial by summing up several terms, where each term is designed to be zero at all data points except one , where it equals one. It sounds a bit like magic, right? Let’s break it down. Suppose you have \(n+1\) data points: \((x_0, y_0), (x_1, y_1), ext{...,} (x_n, y_n)\) . The Lagrange interpolating polynomial, denoted as \(P(x)\) , is given by the formula:

\[ P(x) = \sum_{j=0}^{n} y_j L_j(x) \]

Where \(L_j(x)\) are the Lagrange basis polynomials , and they are defined as:

\[ L_j(x) = \prod_{i=0, i \neq j}^{n} \frac{x - x_i}{x_j - x_i} \]

Whoa, what does that mean? Let’s unpack it. The \(L_j(x)\) part is the crucial bit. For a specific \(j\) , the term \(L_j(x)\) is a polynomial constructed such that:

  • \(L_j(x_j) = 1\) (It equals 1 at the j-th data point’s x-value)
  • \(L_j(x_i) = 0\) for all \(i \neq j\) (It equals 0 at all other data points’ x-values)

Think of each \(L_j(x)\) as a ‘spotlight’ that shines brightly (value 1) only at point \(x_j\) and is completely off (value 0) everywhere else relevant. When you multiply this \(L_j(x)\) by the corresponding \(y_j\) value and sum all these terms up (the \(\sum_{j=0}^{n}\) part), something amazing happens. At any given \(x_k\) from your data points, only the \(j=k\) term will be non-zero (it will be \(y_k imes 1\) ), and all other terms will be zero. So, \(P(x_k) = y_k\) . That’s exactly what we want – the polynomial passes through every single data point! This systematic construction ensures that the resulting polynomial perfectly fits all your provided data. It’s a clever way to build a complex function from simple building blocks, each designed to interact with the data in a very specific way. This formula might look a bit dense, but it’s a direct application of this ‘spotlight’ principle to create a perfect fit.

A Simple Example to Make It Crystal Clear

Let’s walk through a quick example, guys, because numbers often make things click. Suppose we have three data points: \((1, 2)\) , \((3, 4)\) , and \((5, 1)\) . We want to find the Lagrange interpolating polynomial \(P(x)\) that passes through these points.

Here, we have \((x_0, y_0) = (1, 2)\) , \((x_1, y_1) = (3, 4)\) , and \((x_2, y_2) = (5, 1)\) . So, \(n=2\) .

We need to find the Lagrange basis polynomials \(L_0(x)\) , \(L_1(x)\) , and \(L_2(x)\) .

For \(L_0(x)\) : (using \(i=0\) , \(j=0\) in the product formula, excluding \(i=0\) ) $ \( L_0(x) = \frac{x - x_1}{x_0 - x_1} \cdot \frac{x - x_2}{x_0 - x_2} = \frac{x - 3}{1 - 3} \cdot \frac{x - 5}{1 - 5} = \frac{x - 3}{-2} \cdot \frac{x - 5}{-4} = \frac{(x - 3)(x - 5)}{8} \) $

For \(L_1(x)\) : (using \(i=1\) , \(j=1\) in the product formula, excluding \(i=1\) ) $ \( L_1(x) = \frac{x - x_0}{x_1 - x_0} \cdot \frac{x - x_2}{x_1 - x_2} = \frac{x - 1}{3 - 1} \cdot \frac{x - 5}{3 - 5} = \frac{x - 1}{2} \cdot \frac{x - 5}{-2} = \frac{(x - 1)(x - 5)}{-4} \) $

For \(L_2(x)\) : (using \(i=2\) , \(j=2\) in the product formula, excluding \(i=2\) ) $ \( L_2(x) = \frac{x - x_0}{x_2 - x_0} \cdot \frac{x - x_1}{x_2 - x_1} = \frac{x - 1}{5 - 1} \cdot \frac{x - 3}{5 - 3} = \frac{x - 1}{4} \cdot \frac{x - 3}{2} = \frac{(x - 1)(x - 3)}{8} \) $

Now, we plug these into the main formula \(P(x) = y_0 L_0(x) + y_1 L_1(x) + y_2 L_2(x)\) :

\[ P(x) = 2 \cdot \frac{(x - 3)(x - 5)}{8} + 4 \cdot \frac{(x - 1)(x - 5)}{-4} + 1 \cdot \frac{(x - 1)(x - 3)}{8} \]

If we simplify this, we get:

\[ P(x) = \frac{1}{4}(x^2 - 8x + 15) - (x^2 - 6x + 5) + \frac{1}{8}(x^2 - 4x + 3) \]

And after a bit more algebra (which is the tedious part but crucial for the final result!), you’d arrive at a specific quadratic polynomial. Let’s do that simplification for you:

Combine terms with the same denominator: $ \( P(x) = \frac{2(x^2 - 8x + 15)}{8} - \frac{8(x^2 - 6x + 5)}{8} + \frac{x^2 - 4x + 3}{8} \) $

\[ P(x) = \frac{2x^2 - 16x + 30 - 8x^2 + 48x - 40 + x^2 - 4x + 3}{8} \]

Combine like terms in the numerator:

\[ P(x) = \frac{(2 - 8 + 1)x^2 + (-16 + 48 - 4)x + (30 - 40 + 3)}{8} \]

\[ P(x) = \frac{-5x^2 + 28x - 7}{8} \]

So, \(P(x) = -\frac{5}{8}x^2 + \frac{28}{8}x - \frac{7}{8} = -\frac{5}{8}x^2 + \frac{7}{2}x - \frac{7}{8}\) . This is our interpolating polynomial! You can plug in \(x=1, 3, 5\) to verify it gives you \(y=2, 4, 1\) respectively. Pretty neat, huh?

When Is Lagrange Interpolation the Best Choice?

Alright, so when should you pull out the Lagrange interpolation tool from your mathematical toolkit? It’s a fantastic choice when you have a relatively small number of data points. If you’ve only got a handful of measurements, constructing the Lagrange polynomial is straightforward and efficient. It’s also ideal when you need a single , explicit polynomial expression. Unlike some other methods that might give you a piecewise function or require iterative calculations, Lagrange interpolation directly yields a polynomial. This makes it great for analytical purposes or when you need a function that’s easy to differentiate or integrate analytically. Think about fitting a simple curve to a few experimental results; Lagrange interpolation is often the quickest way to get that smooth curve. However, there’s a catch, guys. As the number of data points increases, the degree of the polynomial also increases. High-degree polynomials can become computationally expensive to evaluate and, more importantly, they can exhibit undesirable behavior called Runge’s phenomenon . This means the polynomial can oscillate wildly between the data points, leading to inaccurate predictions, especially near the edges of your data range. So, for a large dataset, you might want to consider alternative methods like piecewise interpolation (e.g., cubic splines) which offer better stability and accuracy. But for that sweet spot of a few points needing a direct polynomial fit, Lagrange interpolation is a champ!

Limitations and Alternatives

While Lagrange interpolation is a powerful tool, it’s not without its quirks. As we touched upon, the biggest limitation is its behavior with a large number of points. The degree of the polynomial grows with the number of data points ( \(n\) ), leading to potential oscillations and numerical instability, especially if the data points are not evenly spaced. This phenomenon, known as Runge’s phenomenon , can make the interpolated function diverge significantly from the true underlying function between the data points. So, if you’re dealing with hundreds or thousands of data points, Lagrange interpolation is probably not your best bet. Another point to consider is that if you add a new data point, you have to recompute the entire polynomial from scratch. This can be inefficient if your dataset is dynamic and frequently updated. What are the alternatives, you ask? For situations with many data points or where oscillations are a concern, piecewise interpolation is often preferred. Methods like cubic splines construct a series of lower-degree polynomials (usually cubics) that connect the data points smoothly. Each small segment of the curve is governed by its own polynomial, which helps to control oscillations and maintain accuracy. Another alternative is Newton’s divided differences , which is closely related to Lagrange interpolation but offers a more computationally efficient way to add new data points incrementally. It builds the polynomial term by term, so adding a new point only requires calculating one additional term, not recalculating everything. For very specific applications, methods like least squares approximation might be used if you don’t need the polynomial to pass exactly through every point but rather to find the