BTL Cardiopoint 3: Your Ultimate ECG Solution

B.Osunstate 76 views
BTL Cardiopoint 3: Your Ultimate ECG Solution

BTL Cardiopoint 3: Your Ultimate ECG Solution

Hey guys! Today, we’re diving deep into something super important for healthcare professionals: the BTL Cardiopoint 3 . If you’re in the medical field, you know how crucial accurate and efficient electrocardiograms (ECGs) are for diagnosing and monitoring heart conditions. Well, the BTL Cardiopoint 3 is designed to make that process smoother, faster, and more reliable than ever before. We’re talking about a state-of-the-art ECG system that brings together cutting-edge technology with user-friendly design, making it a game-changer for clinics, hospitals, and even private practices. This isn’t just another piece of equipment; it’s an investment in better patient care and more streamlined workflows. So, buckle up as we explore what makes the BTL Cardiopoint 3 such a standout product in the world of cardiology diagnostics. We’ll cover its key features, benefits, and why it’s becoming the go-to choice for so many.

Understanding the Core Features of BTL Cardiopoint 3

Alright, let’s get down to the nitty-gritty of the BTL Cardiopoint 3 . What exactly makes this device tick? First off, its high-resolution display is seriously impressive. You get crystal-clear readings, allowing for precise interpretation of even the subtlest changes in heart activity. Forget squinting at blurry lines; this screen makes ECG interpretation a breeze. But it’s not just about the visual aspect. The system boasts advanced signal processing algorithms . These algorithms are like the brainpower behind the machine, ensuring that the ECG data captured is as clean and accurate as possible, filtering out noise and artifacts that can often complicate readings. This means fewer diagnostic uncertainties and more confidence in your findings. Then there’s the ergonomic design . BTL really thought about how doctors and nurses would use this device day in and day out. It’s lightweight, portable, and designed for easy handling, whether you’re moving it between rooms or using it at a patient’s bedside. The intuitive user interface is another huge plus. Seriously, navigating through the menus and functions is super straightforward. You don’t need a manual the size of a phone book to figure it out. This saves precious time, especially in busy medical environments where every second counts. We’re also talking about multiple connectivity options . This means seamless integration with your existing hospital information systems (HIS) or electronic medical records (EMR). Sharing patient data, storing results, and collaborating with other specialists has never been easier. Think about reducing manual data entry errors and speeding up the entire reporting process – that’s the kind of efficiency we’re talking about here. Finally, the long-lasting battery life ensures that the Cardiopoint 3 is ready whenever and wherever you need it, without constantly being tethered to a power outlet. This portability and reliability are key for uninterrupted patient care.

The Benefits You Can’t Ignore

So, we’ve touched upon the cool features, but let’s talk about the real benefits of bringing the BTL Cardiopoint 3 into your practice. The most significant benefit, guys, is enhanced diagnostic accuracy . With those advanced algorithms and the high-res display, you’re getting ECG interpretations you can trust. This directly translates to better patient outcomes because accurate diagnoses lead to the right treatments. Think about catching potential cardiac issues early; that can be a lifesaver! Another massive win is improved workflow efficiency . The intuitive interface, easy portability, and seamless data integration mean less time fiddling with equipment and more time focusing on your patients. Think of the hours saved on data entry, report generation, and moving the device around. It frees up valuable staff time and reduces bottlenecks in your diagnostic process. Cost-effectiveness is also a big one. While it’s a high-tech piece of equipment, the BTL Cardiopoint 3 is designed to offer excellent value. By reducing diagnostic errors, improving efficiency, and potentially minimizing the need for further, more invasive tests, it can actually save money in the long run. Plus, its durability means fewer repairs and replacements down the line. Patient comfort and experience are also boosted. The device is designed to be less intrusive, and its portability allows for ECGs to be taken in a more comfortable setting for the patient, potentially even their own room. Faster results and less time connected to bulky machinery can significantly improve their overall experience. For healthcare providers, this means reduced training time . Because the interface is so user-friendly, your team can get up and running with the Cardiopoint 3 very quickly, minimizing the disruption to your daily operations. Lastly, scalability and future-proofing . BTL is known for building reliable equipment, and the Cardiopoint 3 is no exception. It’s built to last and often comes with options for software updates, ensuring it remains relevant and effective as technology and medical needs evolve. It’s an investment that grows with your practice.

Applications in Modern Healthcare

Now, where exactly does the BTL Cardiopoint 3 shine? Honestly, its applications are widespread across various healthcare settings. In hospitals , it’s invaluable for emergency departments, intensive care units (ICUs), and cardiac wards. Its rapid deployment and accurate readings are critical for immediate patient assessment and continuous monitoring. Imagine a patient coming into the ER with chest pain; a quick, reliable ECG is the first step in diagnosis, and the Cardiopoint 3 delivers just that. For clinics and private practices , it offers a professional, high-quality ECG solution without requiring a massive infrastructure. This allows smaller practices to provide advanced cardiac diagnostics, competing effectively and offering their patients comprehensive care. It’s perfect for routine check-ups, pre-operative assessments, and managing patients with known heart conditions. In cardiac rehabilitation centers , the Cardiopoint 3 plays a vital role in tracking patient progress and ensuring their exercise regimens are safe and effective. Monitoring heart response during and after physical activity is key, and this device provides the necessary data. Sports medicine is another area where it’s incredibly useful. Athletes often undergo rigorous physical demands, and baseline ECGs, as well as on-demand assessments, can help identify any underlying cardiac issues that might put them at risk. Think about screening young athletes before they compete – the Cardiopoint 3 makes this accessible. For telemedicine and remote patient monitoring , the connectivity features of the BTL Cardiopoint 3 are a game-changer. Healthcare providers can remotely access patient ECG data, allowing for timely interventions and reducing the need for frequent in-person visits, especially beneficial for patients in rural areas or those with mobility issues. It also finds its place in medical research , where accurate and consistent data collection is paramount for studies on cardiovascular diseases and treatments. The reliability of the Cardiopoint 3 ensures that research data is of the highest quality. Basically, anywhere accurate, real-time assessment of cardiac electrical activity is needed, the BTL Cardiopoint 3 is a robust and dependable solution.

Ease of Use and User Experience

Let’s talk about something that really makes a difference in the daily grind for healthcare professionals: ease of use . The BTL Cardiopoint 3 absolutely nails this. We mentioned the intuitive user interface , but let’s elaborate. It’s designed with the user in mind, meaning you spend less time figuring out how to operate the device and more time focusing on the patient. The touchscreen is responsive, the menus are logically organized, and common functions are readily accessible. This dramatically cuts down on the learning curve, which is a huge relief, especially when you’re onboarding new staff or dealing with a high patient volume. Imagine needing to perform an ECG quickly in a critical situation; the Cardiopoint 3 allows for rapid setup and data acquisition. No more digging through complex menus or deciphering cryptic buttons! The portability factor also ties directly into user experience. It’s lightweight and compact, making it easy to carry from room to room, store, or even take to a patient’s home if needed. This flexibility is a lifesaver for busy practices. The ergonomic design means it’s comfortable to hold and operate, reducing physical strain on staff. The clear, high-resolution display is another element that enhances user experience. Seeing clear waveforms makes interpretation less taxing and more accurate, reducing the mental load on the clinician. Furthermore, the seamless data management makes the entire process from recording to reporting incredibly smooth. Connecting to EMR/HIS systems is typically straightforward, and exporting reports can be done with just a few clicks. This integration minimizes administrative burdens, a major win for everyone involved. The long battery life also contributes to a stress-free experience, ensuring the device is ready to go without constant charging worries. Ultimately, the BTL Cardiopoint 3 is designed to be a tool that assists healthcare professionals, not hinders them. It simplifies a complex process, making advanced cardiac diagnostics accessible and efficient for everyone on the team.

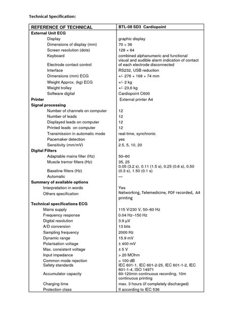
Technical Specifications and Connectivity

Peeking under the hood, the BTL Cardiopoint 3 is packed with impressive technical capabilities that empower clinicians. Its sampling rate is exceptionally high, ensuring that every nuance of the cardiac signal is captured with remarkable fidelity. This is crucial for detecting subtle arrhythmias or abnormalities that might be missed by lower-spec devices. The number of channels typically supports a standard 12-lead ECG, providing a comprehensive view of the heart’s electrical activity from multiple angles. For enhanced diagnostic depth, some configurations might even offer additional leads. The built-in filters are sophisticated, effectively removing power line interference, muscle artifact, and baseline wander without distorting the underlying ECG signal. This results in cleaner, more interpretable tracings. The digital storage capacity is substantial, allowing for the archiving of a vast number of patient records directly on the device or enabling easy transfer to external storage or network servers. This is vital for record-keeping, follow-up analysis, and compliance with data retention policies. When we talk about connectivity , the BTL Cardiopoint 3 is a modern marvel. It commonly features USB ports for data transfer and peripheral connection, Ethernet ports for stable network integration, and often Wi-Fi capabilities for wireless data transmission. This versatility ensures it can integrate smoothly into virtually any existing IT infrastructure. The support for standard communication protocols, like HL7, facilitates seamless interoperability with hospital information systems (HIS), electronic medical records (EMR), and Picture Archiving and Communication Systems (PACS). This means that ECG data flows effortlessly between systems, reducing manual data entry and the potential for errors. Remote access and data sharing capabilities, often enabled via secure networks or cloud platforms, allow for consultations with specialists anywhere in the world, accelerating diagnosis and treatment planning. The device is also often designed to meet stringent medical device standards and certifications (like FDA, CE), assuring users of its safety, reliability, and performance. The combination of these technical specifications and robust connectivity options makes the BTL Cardiopoint 3 a powerful and adaptable tool for modern cardiology.

Why Choose BTL Cardiopoint 3?

So, why should the BTL Cardiopoint 3 be your choice for ECG diagnostics? It boils down to a few key factors that consistently put it ahead of the pack. Firstly, it’s the uncompromising quality and reliability that BTL is known for. These devices are built to last, minimizing downtime and ensuring you can always count on it when you need it most. Secondly, the synergy between advanced technology and user-friendliness . You get state-of-the-art diagnostic power without the frustration of a complicated interface. This means both experienced cardiologists and newer medical staff can use it effectively. Thirdly, the significant improvements in workflow efficiency and accuracy . By streamlining data management, reducing errors, and providing clear, reliable readings, the Cardiopoint 3 allows your practice to operate more smoothly and make more confident diagnostic decisions. Fourth, the versatility in applications . Whether you’re in a large hospital, a small clinic, or a specialized center, the Cardiopoint 3 adapts to your needs. Its portability and connectivity make it suitable for a wide range of clinical scenarios. Fifth, the potential for long-term cost savings . While the initial investment is significant, the efficiency gains, reduced errors, and device longevity translate into excellent value over time. Investing in quality equipment like the Cardiopoint 3 can prevent costly mistakes and improve overall practice economics. Lastly, consider the support and reputation of BTL . As a major player in the medical technology field, BTL offers comprehensive support and has a proven track record of innovation and customer satisfaction. Choosing the BTL Cardiopoint 3 isn’t just about buying an ECG machine; it’s about investing in a superior diagnostic tool that enhances patient care, improves operational efficiency, and supports the growth and reputation of your medical practice. It’s a smart choice for forward-thinking healthcare providers, guys!